Computer algebra e studio di funzione
Lo studio del grafico di una funzione č uno degli argomenti pił estesi nei programmi della scuola secondaria superiore. Pur essendo stato ridimensionato negli ultimi anni rimane comunque un passaggio obbligato e fondamentale nella formazione della cultura matematica dei ragazzi.

L'avvento della computer algebra con le prime potenzialitą grafiche dei software dedicati ha inizialmente provocato una certa diffidenza da parte dei docenti di Matematica verso le nuove tecnologie: se l'obbiettivo rimane il grafico della curva y=f(x) va da sč che il computer rappresenta solo una scorciatoia comoda, poco impegnativa e in molti casi diseducativa.

Ritengo invece che la computer algebra (come quella di Derive (c) per esempio) rappresenti una ulteriore possibilitą di ampliare l'offerta formativa, togliendo allo studente l'onere spesso gravoso di calcoli ripetitivi e talvolta inutili e permettere a tutti (anche a quelli che hanno un poco di difficoltą con la materia) di "arrivare in fondo all'esercizio".

Va da sč che il computer non deve fare tutto: al calcolatore vengono delegate solo le funzioni ripetitive e gią ben codificate.

La seguente utility vuole essere  (almeno lo spero) un aiuto per lo studente nel redigere lo studio di una funzione
Potete scaricala cliccando qui. Una volta aperto un nuovo documento in Derive anadate su FILE > CARICA FILE > UTILITA' e selezionatelo.

Elenco le funzioni disponibili e una breve panoramica con qualche esempio:


Per studiare il segno di una funzione f(x) si scompone in fattori e si studia il segno per ciascuno di essi. Con la funzione

studio(f)
viene restituita la tabella dei segni.

Esempio:


La funzione
segno_grafico(f)
semplificata permette di individuare la zona grafica del piano cartesiano dove disegnare la funzione:
Esempio:



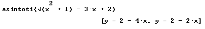
asintoti(f)
consente di determinare gli eventuali asintoti oliqui e/o orizzontali di una curva y=f(x)

Esempi:




punti_stazionari(f)
calcola i punti stazionari della curva risolvendo l'equazione f '(x)=0

Esempi:



studio_derivata(f)
determina il segno della derivata prima segnalando con "/" la funzione crescente e con "\" la funzione decrescente. Nell'ultima riga sono calcolati i valori della immagini dei punti stazionari attraverso la f.

Esempi:



flessi(f)
determina i punti di flesso della funzione dove f '' (x)=0

Esempi:



studio_derivata2(f)
determina il segno della derivata seconda di f(x) e ne studia la concavitą. Il simbolo "\/" indica la concavitą rivolta verso l'alto mentre "/\" verso il basso.

Esempi


Suggerimenti, errori riscontrati e critiche sono sempre ben accolti. Fatemi sapere.

                                        
home ::. giudizi ::.  foglio elettronico ::. polis ::. posta ::. calendario ::. la "0" col bicchiere ::. verifiche on line 

tutte le parole frase esatta