::.
home
::.
giudizi
:.
foglio elettronico
::.
polis
::.
posta
::.
calendario
::.
la "0" col bicchiere
::.
verifiche on line
Condividi su FB
disequazioni fratte
disequazioni goniometriche
disequazioni irrazionali
equazioni differenziali
equazioni goniometriche
equazioni parametriche fratte
funzioni due variabili
goniometria
limiti
serie di Fourier
serie numeriche
studio di funzione
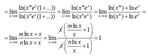
limiti -- ex.# 172
home
::.
giudizi
::.
foglio elettronico
::.
polis
::.
posta
::.
calendario
::.
la "0" col bicchiere
::.
verifiche on line
tutte le parole
frase esatta